L-5-甲基四氢叶酸钙的应用——金康和信L-5-甲基四氢叶酸钙是一种人体必需的维生素,也称为叶酸或维生素B9。它在人体内发挥着重要的生物学功能,如细胞生长和修复,DNA合成以及红细胞形成等。由于身体无法自行合成这种维生素,因此需要从食物或补充剂中获取。L-5-甲基四氢叶酸钙在医疗领域中也有广泛的应用。它被用于预防和治疗......

L-5-甲基四氢叶酸钙成分原料分子式L-5-甲基四氢叶酸钙是一种重要的营养成分,常被用作保健品和药品的原料。它的分子式为C20H23CaN7O6,由C、H、N、O和Ca元素组成。L-5-甲基四氢叶酸钙具有许多重要的生理功能,例如参与DNA和RNA的合成,促进细胞分裂和增殖,帮助维持健康的神经系统和免疫系统等。因此,它被......

L-5-甲基四氢叶酸钙成分原料分析L-5-甲基四氢叶酸钙是一种常用的保健品成分,其质量与纯度对保健品的功效至关重要。下面将对L-5-甲基四氢叶酸钙成分原料进行分析报告。首先,我们对L-5-甲基四氢叶酸钙样品进行了外观检查,发现样品为白色或类似白色的粉末,无异味。经过进一步的化学检测和仪器分析,我们发现该样品的主要成分为......

什么是Magnafolate®?Magnafolate®是一种受专利保护的C晶体L-5-甲基四氢叶酸钙(L-5-MTHF-Ca),由金康和信于2012年研发而成。其他名称:L-5-甲基四氢叶酸钙,L-5-甲基叶酸钙,左亚叶酸钙,6S-5-甲基四氢叶酸钙,L-5-MTHF CaCAS号:151533-22-1化学式: C......

L-5-甲基四清叶酸钙的质量怎么样?L-5-甲基四氢叶酸钙是一种生物可利用的叶酸形式,它是几种生物过程所需的基本营养素,包括DNA的合成、修复和甲基化。L-5-甲基四氢叶酸钙的质量取决于几个因素,包括其纯度、稳定性和功效。当产品的生产符合要求的质量标准时,L-5-甲基四氢叶酸钙一般被认为是安全和有效的。此外,可以通过检......

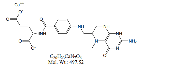
L-5-甲基四氢叶酸钙的化学结构 |金康和信L-5-甲基四氢叶酸钙(L-5-MTHF-Ca)是一种重要的生物活性分子,它在人体中具有多种生理功能,包括参与蛋白质合成、DNA修复、神经递质合成等。L-5-MTHF-Ca的化学结构如下:可以看到,L-5-MTHF-Ca由三个主要部分组成:甲基化四氢叶酸、左旋异构体和钙离子。......

L-5-甲基四氢叶酸钙的作用 | 金康和信L-5-甲基四氢叶酸钙(也称为L-5-MTHF或5-MTHF)是人体中一种非常重要的维生素,也是一种活性叶酸。它在人体内的主要作用是参与蛋氨酸、甲硫氨酸等氨基酸的代谢过程,促进DNA的合成和修复,以及支持神经系统的正常功能。L-5-MTHF还能够帮助调节体内的同型半胱氨酸水平,......

L-5-甲基四氢叶酸钙的药理学—金康和信L-5-甲基四氢叶酸钙是一种维生素B9的衍生物,也被称为甲基化叶酸。它在体内扮演着重要的角色,特别是在DNA和RNA的合成过程中。此外,它也是细胞增殖和分化的必要物质。L-5-甲基四氢叶酸钙在医学上广泛应用。它通常被用作治疗缺乏维生素B9的情况,如贫血和神经管缺陷等。此外,它也可......

L-5-甲基四氢叶酸钙的功效——金康和信L-5-甲基四氢叶酸钙(L-5-MTHF)是一种人体必需的营养物质,它在身体内发挥着重要的生理功能。这种物质可以通过饮食或补充剂的形式摄入。L-5-MTHF的主要功能是在体内参与DNA合成和维持正常细胞生长。此外,它还对神经系统的健康发挥着关键作用,能够帮助预防或减轻神经系统疾病......

L-5-甲基四氢叶酸钙的质量怎么样—金康和信L-5-甲基四氢叶酸钙是一种广泛用于营养补充剂和保健品中的化合物。该化合物在人体中起着重要的代谢和生理作用,包括维持健康的神经系统和红血细胞生成。关于L-5-甲基四氢叶酸钙的质量问题,需要考虑多方面因素。首先,生产厂家的信誉和专业程度对质量的影响非常重要。选择信誉良好的生产厂......

L-5-甲基四氢叶酸钙的质量标准最新版—金康和信L-5-甲基四氢叶酸钙(L-5-MTHF-Ca)是一种重要的生物活性剂,广泛应用于医药、保健品和食品等领域。为了确保L-5-MTHF-Ca的质量和安全性,制定了一系列的质量标准。目前,L-5-MTHF-Ca的质量标准主要包括外观、纯度、比旋光度、重金属、微生物限度等多个方......

Magnafolate®基本介绍—金康和信Magnafolate®(6S-5-甲基四氢叶酸钙)是活性叶酸的迭代升级,它在体内脱钙后将钙盐转化为活性叶酸的形式,是叶酸活性成分之一的5-甲基四氢叶酸的重要来源,是人体生命活动必须的基础物质,是合成叶酸活性化代谢的关键产物,也是天然叶酸中的主要成分。Magnafolate®......

L-5-甲基四氢叶酸钙 VS 无定形L-5-MTHF更安全,MTD≥15g/kg 化学稳定性高得多 已获专利 效力更高(游离叶酸含量)美国USP标准Magnafolate®是一种受专利保护的C晶体L-5-甲基四氢叶酸钙(L-5-MTHF-Ca),由金康和信于2012年研发而成。金康和信研......

人用叶酸亟需升级-Magnafolate人类代谢合成叶酸(FA)的能力远低于自然界其他动物,人类受二氢叶酸还原酶 (DHF)影响,代谢合成叶酸的能力仅为大鼠的1/56,并远远低于自然界其他哺乳动物,难以从服用合成叶酸途径得到足够的叶酸。不同人种、地区和年龄的人,在其体内5,10-亚甲基四氢叶酸还原酶的活性有所不同,导致......

L-5-甲基四氢叶酸钙 成分原料简介成分别名:L-甲基叶酸盐,6S-5-甲基四氢叶酸钙,活性叶酸原料,L-5-甲基四氢叶酸,5-甲基四氢叶酸钙CAS号:151533-22-1分子式:C20H23CaN7O6分子量:497.518外观与性状:灰白色至淡黄色固体熔点:>300ºC用途:用于高半胱氨酸控制,产前保健......

什么是活性叶酸——金康和信活性叶酸,也被称为甲基叶酸或5-MTHF(5-甲基四氢叶酸),是一种生物活性形式的叶酸,在人体内自然存在,对许多代谢过程至关重要。叶酸是一种B族维生素,在细胞生长和发育、DNA合成和红血球的产生中起着关键作用。合成叶酸是叶酸的合成形式,通常存在于保健品和强化食品中。然而,合成叶酸需要转化为其活......
