L-5-甲基四氢叶酸钙成分原料分子式
Release date:2023-03-27 14:46:48 Click volume:867
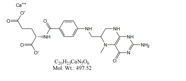
L-5-甲基四氢叶酸钙成分原料分子式
L-5-甲基四氢叶酸钙是一种重要的营养成分,常被用作保健品和药品的原料。它的分子式为C20H23CaN7O6,由C、H、N、O和Ca元素组成。

L-5-甲基四氢叶酸钙具有许多重要的生理功能,例如参与DNA和RNA的合成,促进细胞分裂和增殖,帮助维持健康的神经系统和免疫系统等。因此,它被广泛地应用于预防和治疗许多疾病,如贫血、神经系统疾病、心血管疾病和癌症等。
作为一种重要的营养成分,L-5-甲基四氢叶酸钙的原料分子式为C20H23CaN7O6,其制备工艺和质量控制对保证产品的质量和功效起着重要作用。因此,在生产和使用L-5-甲基四氢叶酸钙时应严格遵守相关的标准和规定,以确保其安全和有效。

Magnafolate®是一种受专利保护的C晶体L-5-甲基四氢叶酸钙(L-5-MTHF-Ca),由金康和信于2012年研发而成。
金康和信研发的L-5-甲基四氢叶酸钙更安全,更纯净,更稳定,适用于包括MTHFR基因突变在内的各种人群,L-5-甲基四氢叶酸钙在人体内无需代谢,可以直接吸收。







