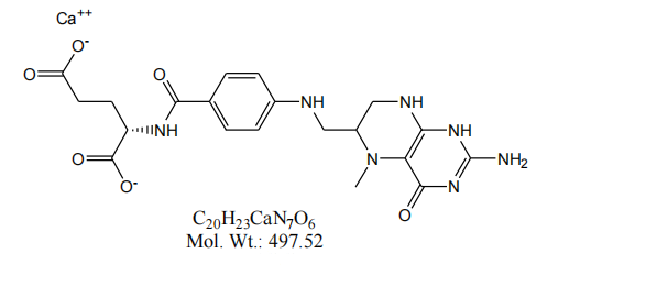
L-5-甲基四氢叶酸钙的化学结构 |金康和信
Release date:2023-04-03 11:12:11 Click volume:827
L-5-甲基四氢叶酸钙的化学结构 |金康和信
L-5-甲基四氢叶酸钙(L-5-MTHF-Ca)是一种重要的生物活性分子,它在人体中具有多种生理功能,包括参与蛋白质合成、DNA修复、神经递质合成等。
L-5-MTHF-Ca的化学结构如下:

可以看到,L-5-MTHF-Ca由三个主要部分组成:甲基化四氢叶酸、左旋异构体和钙离子。甲基化四氢叶酸是一种维生素B9衍生物,由带有甲基基团的对氨基苯甲酸和戊二酸组成,其在体内可以被还原为四氢叶酸,从而参与细胞的代谢过程。左旋异构体是指该分子的立体构型为左旋性质,与右旋异构体的结构不同,但它们的化学式完全相同。钙离子是一种重要的无机离子,它在体内具有多种生理功能,如维持骨骼健康、神经肌肉传递等。
L-5-MTHF-Ca的结构使其具有良好的生物利用度和生物活性,能够有效地参与体内的代谢过程,并对多种疾病有预防和治疗作用。因此,它已被广泛应用于医药、保健品等领域。

Magnafolate®是一种受专利保护的C晶体L-5-甲基四氢叶酸钙(L-5-MTHF-Ca),由金康和信于2012年研发而成。
金康和信研发的L-5-甲基四氢叶酸钙更安全,更纯净,更稳定,适用于包括MTHFR基因突变在内的各种人群,L-5-甲基四氢叶酸钙在人体内无需代谢,可以直接吸收。







