叶酸分类—天然叶酸
Release date:2023-03-02 14:18:01 Click volume:904
叶酸分类—天然叶酸
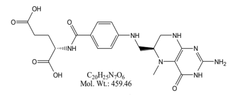
6S-5-甲基四氢叶酸在化学和立体构型上,和天然叶酸的相同。在欧美国家,被视同天然叶酸。
品名:6S-5-甲基四氢叶酸,L-5-甲基四氢叶酸,天然叶酸
化学名称:
英文名称: L-5-Methyltetrahydrofolic acid
英文别名:(6S)-5-methyl-5,6,7,8-tetrahydropteroyl-L-glutamic acid
CAS 号: 31690-09-2
结构式:

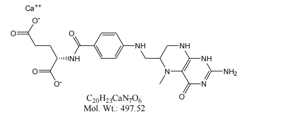
6S-5-甲基四氢叶酸在水中溶解度极低,生物利用效率不好,所以,在医疗保健应用上,一般使用其钙盐。
钙盐在摄取时或溶解时,完全离解成5-甲基四氢叶酸(5-MTHF)与钙,然后作为5-甲基四氢叶酸(5-MTHF)发挥作
用。
L-5-甲基四氢叶酸钙盐结晶拥有优良的化学稳定性和适中的溶解性,生物利用度优良。

Magnafolate®是一种受专利保护的C晶体L-5-甲基四氢叶酸钙(L-5-MTHF-Ca),由金康和信于2012年研发而成。
金康和信研发的L-5-甲基四氢叶酸钙更安全,更纯净,更稳定,适用于包括MTHFR基因突变在内的各种人群,L-5-甲基四氢叶酸钙在人体内无需代谢,可以直接吸收。







